. .
1944-2009 MATHEMATICS MADE EASY FOR CLASS 10TH & 12TH


Home

12th
Chapter 1

Chapter 2

Chapter 3

Chapter 4

Chapter 5

Chapter 6

Chapter 7

Chapter 8

Chapter 9

Chapter 10

Chapter 11


10th



Webmaster


5 Chapter

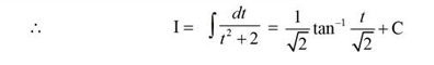
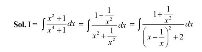
Integration (Indefinite & Definite)


  
  
  
  
  


PREV PAGE        NEXT PAGE 
 
1-100    101-150    151-160    161    162    163    164    165    166    167    168    169    170    171-180    181-190    191-200    201-229