.
.
1944-2009
MATHEMATICS MADE EASY FOR CLASS 10TH & 12TH
Home
12th
Chapter 1
Chapter 2
Chapter 3
Chapter 4
Chapter 5
Chapter 6
Chapter 7
Chapter 8
Chapter 9
Chapter 10
Chapter 11
10th
Webmaster
5 Chapter
Integration (Indefinite & Definite)
PREV PAGE
NEXT PAGE
1-100
101-150
151-160
161
162
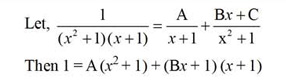
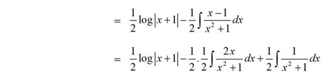
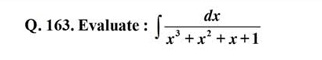
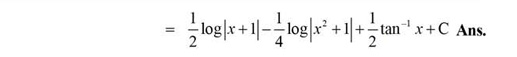
163
164
165
166
167
168
169
170
171-180
181-190
191-200
201-229