. .
1944-2009 MATHEMATICS MADE EASY FOR CLASS 10TH & 12TH


Home

12th
Chapter 1

Chapter 2

Chapter 3

Chapter 4

Chapter 5

Chapter 6

Chapter 7

Chapter 8

Chapter 9

Chapter 10

Chapter 11


10th



Webmaster


8 Chapter

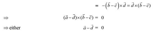
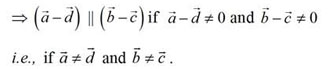
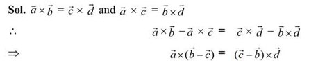
Vectors


  
  
  
  
  


PREV PAGE        NEXT PAGE 
 
1-20    21-40    41-60    61-80    81-100    111-120    121    122    123    124    125    126    127    128