. .
1944-2009 MATHEMATICS MADE EASY FOR CLASS 10TH & 12TH


Home

12th
Chapter 1

Chapter 2

Chapter 3

Chapter 4

Chapter 5

Chapter 6

Chapter 7

Chapter 8

Chapter 9

Chapter 10

Chapter 11


10th



Webmaster


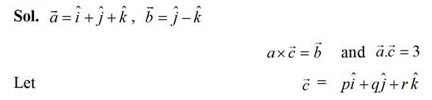
8 Chapter

Vectors


  
  
  
  
  
  
  
  


PREV PAGE        PREV PAGE
 
1-20    21-40    41-60    61-80    81-100    101    102    103    104    105    106    107    108    109    110    111-120    121-128