.
.
1944-2009
MATHEMATICS MADE EASY FOR CLASS 10TH & 12TH
Home
12th
Chapter 1
Chapter 2
Chapter 3
Chapter 4
Chapter 5
Chapter 6
Chapter 7
Chapter 8
Chapter 9
Chapter 10
Chapter 11
10th
Webmaster
5 Chapter
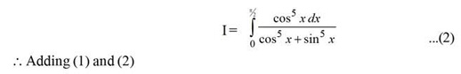
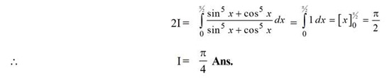
Integration (Indefinite & Definite)
PREV PAGE
NEXT PAGE
1-10
11-20
21
22
23
24
25
26
27
28
29
30
31-40
41-50
51-60
61-70
71-80
81-90
91-100
101-229