. .
19445-2009 MATHEMATICS MADE EASY FOR CLASS 10TH & 12TH


Home

12th
Chapter 1

Chapter 2

Chapter 3

Chapter 4

Chapter 5

Chapter 6

Chapter 7

Chapter 8

Chapter 9

Chapter 10

Chapter 11


10th



Webmaster


5 Chapter

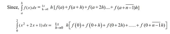
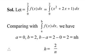
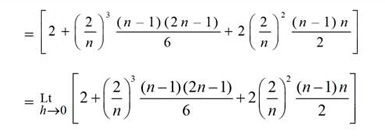
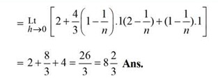
Integration (Indefinite & Definite)


  
  
  
  
  
  


PREV PAGE        NEXT PAGE 
 
1-100    101-150    151-160    161-170    171-180    181    182    183    184    185    186    187    188    189    190    191-200    201-229