. .
1944-2009 MATHEMATICS MADE EASY FOR CLASS 10TH & 12TH


Home

12th
Chapter 1

Chapter 2

Chapter 3

Chapter 4a

4b

4c

4d

4e

Chapter 5

Chapter 6

Chapter 7

Chapter 8

Chapter 9

Chapter 10

Chapter 11


10th



Webmaster


4a Chapter

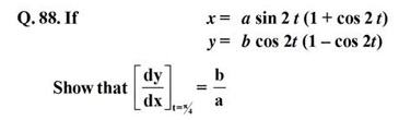
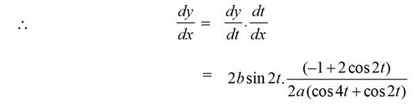
Differentiation


  
  
  
  
  
  


PREV PAGE        NEXT PAGE 
 
1-50    51-60    61-70    71-80    81    82    83    84    85    86    87    88    89    90    91-100    101-124