. .
1944-2009 MATHEMATICS MADE EASY FOR CLASS 10TH & 12TH


Home

12th
Chapter 1

Chapter 2

Chapter 3

Chapter 4a

4b

4c

4d

4e

Chapter 5

Chapter 6

Chapter 7

Chapter 8

Chapter 9

Chapter 10

Chapter 11


10th



Webmaster


4a Chapter

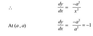
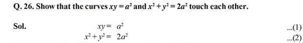
Differentiation


  
  
  
  
  
  
  
  


PREV PAGE        NEXT PAGE 
 
1-10    11-20    21    22    23    24    25    26    27    28    29    30    31-40    41-50    51-100    101-124