. .
1944-2009 MATHEMATICS MADE EASY FOR CLASS 10TH & 12TH


Home

12th
Chapter 1

Chapter 2

Chapter 5

Chapter 4

Chapter 5

Chapter 6

Chapter 7

Chapter 8

Chapter 9

Chapter 10

Chapter 11


10th



Webmaster


3 Chapter

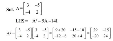
Matrices & Determinants


  
  
  
  


PREV PAGE        4NEXT PAGE 
 
1-10    11-20    21-30    31-40    41-50    51-60    61-70    71    72    73    74    75    76    77    78    79    80    81-90    91-100    101-182