. .
19445-2009 MATHEMATICS MADE EASY FOR CLASS 10TH & 12TH


Home

12th
Chapter 1

Chapter 2

Chapter 3

Chapter 4

Chapter 5

Chapter 6

Chapter 7

Chapter 8

Chapter 9

Chapter 10

Chapter 11


10th



Webmaster


3 Chapter

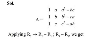
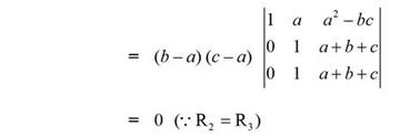
Matrices & Determinants


  
  
  
  
  


PREV PAGE        NEXT PAGE 
 
1-10    11-20    21-30    31    32    33    34    35    36    37    38    39    40    41-50    51-60    61-70    71-80    81-90    91-100    101-182