. .
1944-2009 MATHEMATICS MADE EASY FOR CLASS 10TH & 12TH


Home

12th
Chapter 1

Chapter 2

Chapter 3

Chapter 4

Chapter 5

Chapter 6

Chapter 7

Chapter 8

Chapter 9

Chapter 10

Chapter 11


10th



Webmaster


2 Chapter

Inverse Trigonometric Functions


  
  
  
  


PREV PAGE        NEXT PAGE 
 
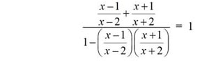
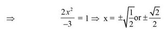
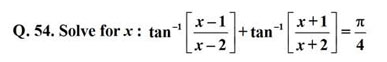
1-10    11-20    21-30    31-40    41-50    51    52    53    54    55    56    57    58    59    60    61-66