. .
1944-2009 MATHEMATICS MADE EASY FOR CLASS 10TH & 12TH


Home

12th
Chapter 1

Chapter 2

Chapter 3

Chapter 4

Chapter 5

Chapter 6

Chapter 7

Chapter 8

Chapter 9

Chapter 10

Chapter 11


10th



Webmaster


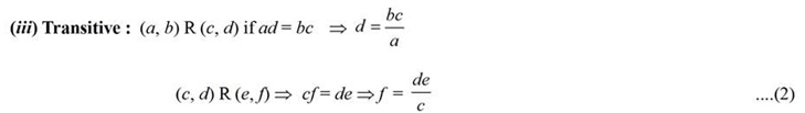
1 Chapter

Relations & Functions


  
  
  
  
  
  
  
  





PREV PAGE         NEXT PAGE 
 

 
1-10    11-20    21-30    31-40    41    42    43    44    45    46    47    48    49    50  

51-60    61-66