. .
1944-2009 MATHEMATICS MADE EASY FOR CLASS 10TH & 12TH

Home

10th

Chapter 1

Chapter 2

Chapter 3

Chapter 4

Chapter 5

Chapter 6

Chapter 7

Chapter 8

Chapter 9

Chapter 10

Chapter 11

Chapter 12
Statistics

Chapter 13





12th
Webmaster

12 Chapter

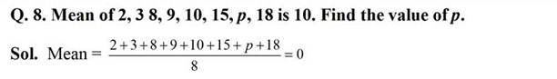
Statistics


  
  


  
  
  
  
  




PREV PAGE      NEXT PAGE 
 
First    2    3    4    5    6    7    8    9    10    11-20    21-40    41-60    61-97    Last