. .
1944-2009 MATHEMATICS MADE EASY FOR CLASS 10TH & 12TH

Home

10th

Chapter 1

Chapter 2

Chapter 3

Chapter 4

Chapter 5

Chapter 6

Chapter 7

Chapter 8

Chapter 9

Chapter 10

Chapter 11
Mensuration

Chapter 12

Chapter 13





12th
Webmaster

11 Chapter

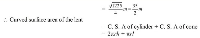
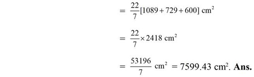
Mensuration


  
     
  
  
  
  


  
  
     
  




PREV PAGE      NEXT PAGE 
 
1-20    21-40    41-60    61    62    63    64    65    66    67    68    69    70    71-80    81-100    101-110