. .
1944-2009 MATHEMATICS MADE EASY FOR CLASS 10TH & 12TH

Home

10th

Chapter 1

Chapter 2

Chapter 3

Chapter 4

Chapter 5

Chapter 6

Chapter 8

Chapter 8
Similar Triangles

Chapter 9

Chapter 10

Chapter 11

Chapter 12

Chapter 13





12th
Webmaster

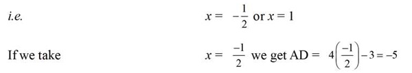
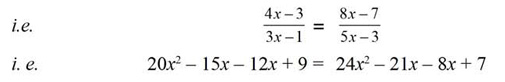
8 Chapter

Similar Triangles


  
  
  
  
  
  
  
  




PREV PAGE      NEXT PAGE 
 
First-10    11-20    21-30    31    32    33    34    35    36    37    38    39    40    41-50    51-60    61-68    Last