. .
1944-2009 MATHEMATICS MADE EASY FOR CLASS 10TH & 12TH

Home

10th

Chapter 1

Chapter 2

Chapter 3

Chapter 4

Chapter 5

Chapter 6a

6b

6c

Chapter 6c

Chapter 7

Chapter 8

Chapter 9

Chapter 10

Chapter 11

Chapter 12

Chapter 13





12th
Webmaster

6 Chapter

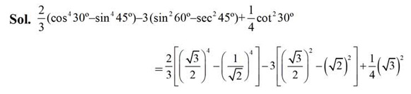
Trigonometry


  
  
  
  




PREV PAGE      NEXT PAGE  
 
1-50    51-60    61-70    71    72    73    74    75    76    77    78    79    80    81-90    91-100