. .
1944-2009 MATHEMATICS MADE EASY FOR CLASS 10TH & 12TH

Home

10th

Chapter 1

Chapter 2

Chapter 3

Chapter 4

Chapter 5

Chapter 6a

6b

6c

Chapter 7

Chapter 8

Chapter 9

Chapter 10

Chapter 11

Chapter 12

Chapter 13





12th
Webmaster

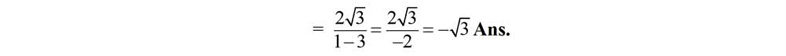
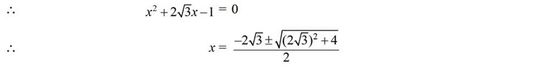
6 Chapter

Trigonometry


  
  
  
  
  
  
  
  




PREV PAGE      NEXT PAGE 
 
1-10    11-20    21    22    23    24    25    26    27    28    29    30    31-40    41-50    51-100