. .
1944-2009 MATHEMATICS MADE EASY FOR CLASS 10TH & 12TH

Home

10th

Chapter 1

Chapter 2

Chapter 3

Chapter 4

Chapter 5

Chapter 6a

6b

6c

Chapter 7

Chapter 8

Chapter 9

Chapter 10

Chapter 11

Chapter 12

Chapter 13





12th
Webmaster

6c Chapter

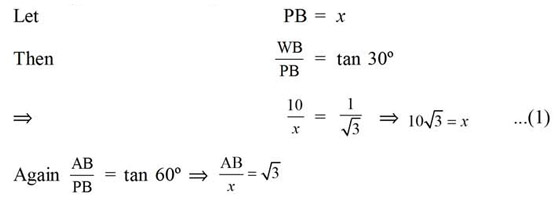
Trigonometry - Heights & Distances


  
  
  
  




PREV PAGE      NEXT PAGE 
 
101-150    151-170    171-180    181-190    191    192    193    194    195    96    97    98    99    200    201-215