. .
1944-2009 MATHEMATICS MADE EASY FOR CLASS 10TH & 12TH

Home

10th

Chapter 1

Chapter 2

Chapter 3

Chapter 4

Chapter 5
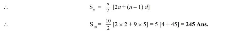
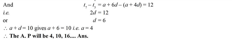
Arithmetic Progression

Chapter 6

Chapter 7

Chapter 8

Chapter 9

Chapter 10

Chapter 11

Chapter 12

Chapter 13





12th
Webmaster

5 Chapter

Arithmetic Progression


  
  


  
  




PREV PAGE      NEXT PAGE 
 
First  2  3  4  5  6  7  8  9  10  11-20  21-30  31-40  41-50  51-60  61-70  Last