. .
1944-2009 MATHEMATICS MADE EASY FOR CLASS 10TH & 12TH

Home

10th

Chapter 1

Chapter 2

Chapter 3

Chapter 4
Quadratic Equations

Chapter 5

Chapter 6

Chapter 7

Chapter 8

Chapter 9

Chapter 10

Chapter 11

Chapter 12

Chapter 13





12th
Webmaster

4 Chapter

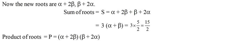
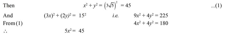
Quadratic Equations


  
  
  


  
  
  
  




PREV PAGE      NEXT PAGE 
 
First-10  11-20  21  22  23  24  25  26  27  28  29  30  31-40  41-50  51-60  61-70  71-80  81-90  91-93  Last