. .
1944-2009 MATHEMATICS MADE EASY FOR CLASS 10TH & 12TH

Home

10th

Chapter 1

Chapter 2

Chapter 3
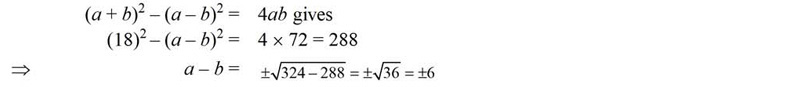
Linear Equations

Chapter 4

Chapter 5

Chapter 6

Chapter 7

Chapter 8

Chapter 9

Chapter 10

Chapter 11

Chapter 12

Chapter 13





12th
Webmaster

3 Chapter

Linear Equations


  
  
  



  
  
  





PREV PAGE     NEXT PAGE 
 
First-10  11-20  21-30  31-40  41-50  51-60  61  62  63  64  Last