. .
1944-2009 MATHEMATICS MADE EASY FOR CLASS 10TH & 12TH

Home

10th

Chapter 1

Chapter 2
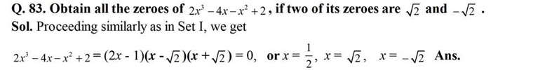
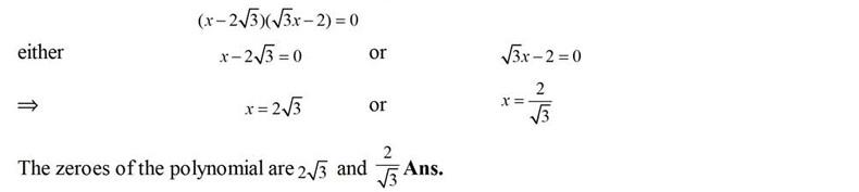
Polynomials

Chapter 3

Chapter 4

Chapter 5

Chapter 6

Chapter 7

Chapter 8

Chapter 9

Chapter 10

Chapter 11

Chapter 12

Chapter 13





12th
Webmaster

2 Chapter

Polynomials


  


  


  
  


PREV PAGE       NEXT PAGE 
 
First-10  11-20  21-30  31  32  32  34  35  36  Last